ノンブルで数字が逆に表示されてしまいます
インデザインにて左綴じでノンブルを設定したのですが、1桁目の数字は
1,2,3,4,と表示できていたのですが、10P目から10,11,12,13となるべきところが
01,11,21,31と、右から左に数字が表示されてしまいます。
調べてみたですが、ノンブルの設定でこのような問題で困っているという事例が見つからずにご相談させていただいた次第です。
設定方法等に誤りがあればご教示いただければと思います。
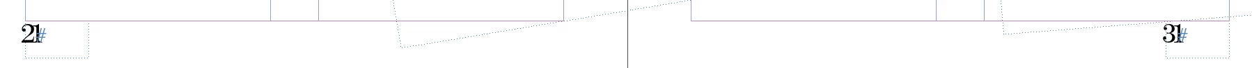
インデザインにて左綴じでノンブルを設定したのですが、1桁目の数字は
1,2,3,4,と表示できていたのですが、10P目から10,11,12,13となるべきところが
01,11,21,31と、右から左に数字が表示されてしまいます。
調べてみたですが、ノンブルの設定でこのような問題で困っているという事例が見つからずにご相談させていただいた次第です。
設定方法等に誤りがあればご教示いただければと思います。
ご提示いただいたのは [基本段落] そのものの設定ダイアログですが、
先の縦長のスクリーンショットを見ると [基本段落]+ と表示されています。
これは [基本段落] がアレンジされた状態の書式になっている……ということです。
そのアレンジの内容を確認したいので、
まずは [基本段落]+ と表示された状態でパレットの
「新規スタイルを作成」ボタン(□内に+)をクリックしてください。

すると「段落スタイル 1」というスタイルができるはずです。
この「段落スタイル1」の設定ダイアログで「一般」を選択すると
どのようにアレンジされているかが分かります。

Already have an account? Login
Enter your E-mail address. We'll send you an e-mail with instructions to reset your password.