Question
Equations in Responsive HTML5 Output
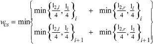
Many of my equations are coming out this way.


They look perfect in the document and when saved as PDF. I am using MathFlow. Anything I can do to fix this or ?
Many of my equations are coming out this way.


They look perfect in the document and when saved as PDF. I am using MathFlow. Anything I can do to fix this or ?
Already have an account? Login
Enter your E-mail address. We'll send you an e-mail with instructions to reset your password.