P: - Add ISO and Exposure Time to the Noise Profile Tag implementation
Hello everyone,
I have a question (or a remark) about the "noise profile" tag that is expected to be found on .dng files.
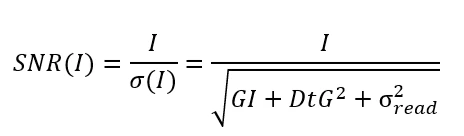
For reminding, the noise in a raw picture can be approached by a Gaussian noise, whose variance scales linearly with the brightness. The noise profile tag therefore gives the slope and the intercept of this linear relation, for each color channel.
There are several methods to estimate these parameters, but I doubt that such an estimation is done everytime I take a raw picture with my smartphone. I suspect that the noise profile is estimated one time by the camera manufacter, and scaled according to the picture settings.
It is now fairly known that the slope scales linearly witht the ISO, and the intercept scales quadratically with the ISO, and such relationships can indeed be observed on the metadatas of pictures taken with different ISOs.
Note that there is a first gap in Adobe's documentation, since there is no convention on the ISO for which the noise model is given. Many people refer to noise profile as the slope and intercept for ISO 100, whereas it seems in practice that the noise profile found in the EXIF is given for the ISO of the picture. Is this left to the control of camera producers, or is it controled by the dng requirement ?
My second remark is about the exposure time. The intercept of the noise model is expected to scale linearly with the exposure time, and this can indeed be observed by manually estimating noise on raw images. However, the noise profile tag seems to be purely ISO dependant, and does not change slightly with the exposure, which is completely misleading.
This lead me to suspect that some camera manufacters obtain the noise profile tag by simply scaling a predefined noise profile using the ISO, WITHOUT considering the exposure time. Not only it is misleading, since the noise profile in incorrect, but the resulting tag cannot be manually scaled since the reference exposure of the noise profile is unknown !
This is why I believe the following points should be adressed in the dng specifications:
- For which ISO is the noise profile tag given
- For which exposure time is the noise profile given
I am aware that providing an accurate noise profile is hard, especially because many factors such as the temperature can have an impact. However, exposure time can vary a lot and significantly modify the intercept, and is very easily measurable.
I would be glad to hear yout thoughts on the matter, if you have any further information, please let me know.
